Liu Yifeng

NLP & AI4Science Researcher

I am a second-year Ph.D. student of UCLA following Prof. Quanquan Gu, mainly researching in optimization and architecture of Large Language Models. Previously I was a Yao Class Student in Tsinghua University advised by Prof. Zhilin Yang. And I was also a visiting student to University of Washington following Prof. Sheng Wang See my Blog, Github and LinkedIn.

My Projects

portfolio img

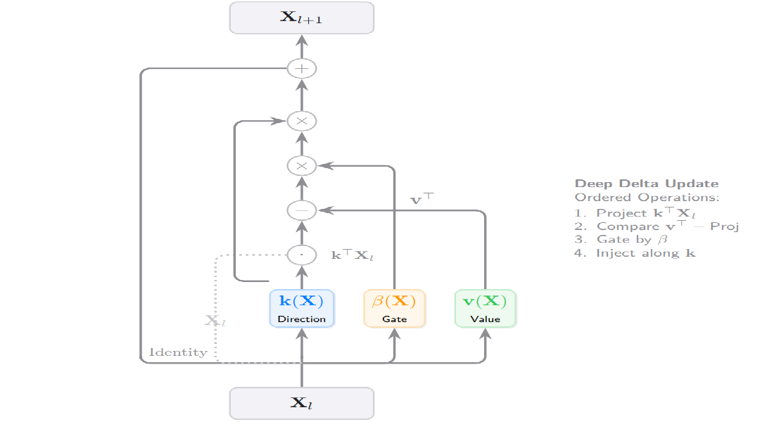
Deep Delta Learning

A novel architecture that generalizes the standard residual connection by modulating the identity shortcut with a learnable, data-dependent geometric transformation

portfolio img

GRAPE

Group Representational Position Encoding (ICLR 2026)

portfolio img

MARS-M

When Variance Reduction Meets Matrices

portfolio img

Robust Layerwise Scaling Rules

Robust Layerwise Scaling Rules by Proper Weight Decay Tuning

portfolio img

RPG

On the Design of KL-Regularized Policy Gradient Algorithms for LLM Reasoning (ICLR 2026)

portfolio img

Kimi k1.5

Kimi k1.5: Scaling Reinforcement Learning with LLMs

portfolio img

TPA

Tensor Product Attention Is All You Need (NeurIPS 2025 Spotlight)

portfolio img

MARS

MARS: Unleashing the Power of Variance Reduction for Training Large Models (ICML 2025)

portfolio img

T-Rex

A Text-assisted Retrosynthesis Prediction Architecture

portfolio img

Capricorn

Enhancing Hi-C contact matrices for loop detection with a multi-view diffusion approach (ISMB 2024 & Bioinformatics Published)

portfolio img

CodeGeeX

A large-scale multilingual code generative model with 13 billion parameters, pre-trained on a large code corpus of more than 20 programming languages (KDD'23)

portfolio img

Medical Multiomics

One non-AI and three AI methods of medical multiomics integration for COVID-19, ZIKV and TNBC datasets

portfolio img

Heady Liar

A program for mugshot process based on DLIB and PyQt6

portfolio img

Japan Mahjong

An offline game program with GUI based on C++, including most of the common service species of Japanese mahjong

portfolio img

Miku Crawler

A crawler project based on selenium crawling the data of some Vocaloid videos on BiliBili and generates a data query website using Django database.

portfolio img

Chinese Stratego

An online military chess (flip chess) system based on Qt6 based on IP addresses.

portfolio img

ICM Outstanding Award

The outstanding award of Question E (Carbon Sequestration Calculation), MCM/ICM 2022.

My Profile

Name Liu Yifeng(Lewis Yik-fung Lau)

From Fuling, Chongqing, China

Major Computer Science and Engineering

Location Los Angeles

Blog lauyikfung.github.io/blog

Some Skills

I won the gold medal in the 36th CPhO and obtained the Outstanding Award of Interdisciplinary Contest In Modeling(ICM). Also, I am the Excellent graduate of Tsinghua University and outstanding graduate of IIIS and has got the comprehensive awards of Tsinghua University in 2021, 2022 and 2023. And I also received Amazon Trainium Fellowship in 2025

Besides research, I am also interested in topics of transportation, geography, linguistics and Vocaloid. I have learned accounting, economics and financing and I have experiences in quantitative trading, venture capital investment as well as enterprise financial management.

Chinese 100%

English 90%

Japanese 40%

This is me

Large Language Model & AI4Science Researcher

I am currently a Ph.D. student at UCLA AGI Lab following Prof. Quanquan Gu, researching on optimization and architectures of LLMs. I was previously a Yao Class Student from Tsinghua University researching on the fields of NLP following Zhilin Yang (Now CEO of Moonshot Inc.) and AI4Science following Prof. Sheng Wang as a visiting student in the University of Washington in 2023.


Besides research, I love traveling around and I am also fond of topics including transportation (subways/undergrounds/light rails, etc.), geography (especially Chinese geography), linguistics, Vocaloid (Hatsune Miku & IA in Japanese, Luo Tianyi in Chinese) as well as financing (VC investment etc.).


(I think, if you try to be friend of me) I am responsible, for which I was once elected as the monitor of Yao Class. And I am also sunny, optimistic as well as approachable.